Giải thích chi tiết về dao động tắt dần trong vật lý
Trong bức tranh rộng lớn của vật lý học, dao động tắt dần là một chương đầy thách thức, nơi mà các hệ thống dao động giảm dần theo thời gian dưới tác động của lực cản hoặc ma sát.
Trong bức tranh rộng lớn của vật lý học, dao động tắt dần là một chương đầy thách thức, nơi mà các hệ thống dao động giảm dần theo thời gian dưới tác động của lực cản hoặc ma sát.
Điều này không chỉ giúp chúng ta hiểu biết sâu sắc về mặt lý thuyết mà còn áp dụng vào thực tiễn, từ việc kiểm soát rung động của cầu đến việc tạo ra các thiết bị giảm chấn. Hãy cùng đi sâu vào nghiên cứu dao động tắt dần, khám phá ảnh hưởng và ý nghĩa của nó trong khoa học và công nghệ.
Khái niệm về dao động tắt dần

Dao động tắt dần là dao động có biên độ giảm dần theo thời gian do tác dụng của lực cản. Lực cản có thể là lực ma sát, lực cản của môi trường,…
Nguyên nhân:
- Do lực ma sát hoặc lực cản của môi trường tác dụng lên vật dao động.
- Lực ma sát và lực cản luôn ngược chiều với vận tốc của vật, làm tiêu hao năng lượng của vật, khiến biên độ dao động giảm dần.
Đặc điểm:
- Biên độ và năng lượng của dao động tắt dần giảm dần theo thời gian.
- Chu kỳ và tần số của dao động tắt dần không phụ thuộc vào biên độ dao động mà phụ thuộc vào chu kỳ và tần số dao động riêng của vật.
Phân loại:
– Dao động tắt dần chậm: Biên độ giảm dần chậm theo thời gian.
– Dao động tắt dần nhanh: Biên độ giảm dần nhanh theo thời gian.
Ứng dụng:
Dao động tắt dần được ứng dụng trong nhiều lĩnh vực như:
– Chế tạo các bộ phận giảm xóc trong ô tô, xe máy,…
– Chế tạo các bộ phận điều chỉnh tốc độ trong các thiết bị cơ khí.
– Chế tạo các bộ phận hãm tốc trong các thiết bị điện tử.
Công thức của dao động tắt dần

Trong phần về công thức của dao động tắt dần, chúng ta phân chia thành các phần tương ứng với các tình huống đặc biệt khác nhau như sau:
Công thức tính độ giảm biên độ sau mỗi chu kì
- Độ giảm biên độ sau một chu kì:

- Độ giảm biên độ tương đối sau một chu kì:

Số dao động vật thực hiện được cho tới khi dừng

Thời gian dao động cho tới khi dừng lại

Độ giảm năng lượng mỗi chu kì

Giải thích các ký hiệu:
| Ký hiệu | Giải thích | Đơn vị |
| μ | Hệ số ma sát | |
| A | Khối lượng vật dao động | m |
| m | Khối lượng vật dao động | kg |
| k | Độ cứng của lò xo (trong dao động con lắc lò xo) | N/m |
| ω | Tần số góc riêng của hệ dao động | rad/s |
| E | Năng lượng của vật | J |
| N | Số dao động vật thực hiện | N.s/m |
| t | Thời gian | s |
| g | Gia tốc rơi tự do | (m/s2) |
Bài tập ứng dụng

Bài 1: Một con lắc lò xo dao động tắt dần. Biết trong 3 chu kì đầu tiên, biên độ giảm 10%. Độ giảm năng lượng tương ứng là bao nhiêu?
Lời giải:
Biên độ sau 3 chu kì: A3 = 0,9A0
Năng lượng sau 3 chu kì: W3 = 0,81W0
Độ giảm năng lượng:
=> ΔW=W0−W3=0,19W0
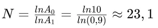
Bài 2: Một con lắc đơn có chiều dài l = 1 m, dao động tắt dần trong môi trường có lực cản với hệ số tắt dần
ζ=0,01. Biết biên độ dao động ban đầu là A0 = 10 cm. Xác định số dao động thực hiện cho đến khi dừng hẳn.
Lời giải:
Số dao động thực hiện cho đến khi dừng hẳn:

Kết thúc cuộc hành trình khám phá về dao động tắt dần, chúng ta nhận ra rằng dù có vẻ là một phần nhỏ trong lĩnh vực dao động học, nó lại ẩn chứa giá trị lớn trong việc thiết kế và tối ưu hóa nhiều hệ thống kỹ thuật.
Từ việc hiểu biết sâu sắc về các nguyên nhân gây ra dao động tắt dần đến việc ứng dụng kiến thức này vào giải quyết các vấn đề thực tiễn, dao động tắt dần không ngừng mở ra những khả năng mới cho sự tiến bộ trong khoa học và công nghệ.
Bài Viết Liên Quan
Tôi là Kiều Anh, đam mê khám phá và chia sẻ những kiến thức vật lý thú vị từ cuộc sống hằng ngày đến bài học trên lớp. Với cách viết sinh động và dễ hiểu, tôi mong muốn giúp độc giả thấy được vẻ đẹp của vật lý trong mọi khía cạnh của cuộc sống. Hy vọng những bài viết của tôi trên vatly.edu.vn sẽ truyền cảm hứng và làm giàu thêm kiến thức cho mọi người.